概率论与数理统计知识点
第一章 概率论基础
1.1 随机事件与样本空间
随机试验:可重复进行,结果预先知道
样本空间:随机试验的一切可能结果组成的集合,称为样本空间
1.2 事件之间的关系与运算
关系:包含、并交、互不相容(互斥)、差、对立
运算:交换律、结合律、分配率、摩根定律
1.3 随机事件的概率
统计概率、古典概率、几何概率,略
1.4 条件概率 全概率公式与贝叶斯公式
P(B|A)=P(AB)/P(A),指的是在A发生的情况下B发生的概率
全概率公式
贝叶斯公式(逆概率公式)
实际上,贝叶斯公式可以不用记住,由条件概率和全概率公式推导即可
1.5 事件的独立性
定义:对两个事件A、B,如果P(AB)=P(A)P(B),则称A、B相互独立
定理:①设A、B是相互独立的事件,若P(A)>0,则P(B|A)=P(B);若P(B)>0,则P(A|B)=P(A)
②设A、B是相互独立的事件,则下列各对事件也相互独立:A与B非、A非与B、A非与B非
1.6 常用公式总结
减法公式:P(A-B)=P(A)-P(AB)
两个事件的并:P(A∪B)=P(A)+P(B)-P(AB)
三个事件的并:P(A∪B∪C)=P(A)+P(B)+P(C)-P(AB)-P(AC)-P(BC)+P(ABC)
第二章 随机变量及其分布
2.1 随机变量的概念
随机试验结果两类表示方法
1.数量化表示
如:网课注册人数,Ω={0,1,2,3,…}
2.非数量化表示
如:抛硬币,观察证明H和反面T出现的情况,Ω={H,T}
随机变量函数
设E是随机试验,它的样本空间为Ω={w},对于每一个w∈Ω,都有一个实数X(w)与之对应,得到一个定义在Ω上的单值实值函数X(w),称X(w)为随机变量函数,简称随机变量。
离散型随机变量:
2.2 离散型随机变量及其概率分布率
2.2.1 两点分布和二项分布
两点分布:对于一次随机试验,事件A与A非有且只有一个发生,P(A)=p,则P(A非)=1-p,这样的实验称为 伯努利试验 ,如上班是否迟到,考试是否及格
二项分布:
2.2.2 泊松分布、几何分布、超几何分布
泊松分布
设随机变量的可能取值为0,1,2,…,取各个值的概率为:
其中λ>0是常数,则称X服从参数为λ的泊松分布,记为X~P(λ)
几何分布
在伯努利试验中,若每次试验中事件A发生的概率为p,X表示实验中A首次发生的试验次数,X的取值为1,2,… ,则称X服从参数p的 几何分布
其中,k=1,2,3,… 记作X~G (p)
其常用来描述 事件首次成功 的概率模型
超几何分布
设N件产品中有M件次品,从中任取n件产品,得到的次品数X为随机变量
则称X服从超几何分布
注意:有放回抽样->二项分布 无放回抽样->超几何分布
2.3 随机变量的分布函数
定义:设X是一个随机变量,x为任意实数,函数F(x) = P{X ≤ x}称为X的概率分布函数,简称分布函数
由性质判定分布函数:
性质1:0≤F(x)≤1,x∈(-∞,+∞)
性质2:F(x1)≤F(x2),(x1<x2) 单调不减
性质3:lim(x->x0+)F(x) = F(x0), (-∞ < x0 <+∞) 右连续
2.4 连续型随机变量
2.4.1 连续型随机变量概念
性质:
-
1.f(x) ≥ 0
-
满足以上两个条件的函数,可作为随机变量的概率密度函数
注意:对于任意可能值a,连续型随机变量取a的概率为0(落入某一区间概率与开闭无关)
- 4.若f(x)在点x处连续,则有F’(x) = f(x)
2.4.2 均匀分布与指数分布
均匀分布
指数分布
-
指数分布是独立事件发生的时间间隔的分布
-
指数分布具有无记忆性
2.4.3 正态分布

-
标准正态分布
当正态分布N(μ, σ²)中的μ=0,σ=1时,这样的分布称为标准正态分布
-
几何特征
当σ不变,改变μ大小,相当于f(x)平移变换,反之则对称轴不变,图形高度随σ越大越低
-
性质
- 1.Φ(-x) = 1 - Φ(x)
- 2.若X~N(μ, σ²),则Z=(X-μ)/σ ~ N(0, 1) (标准化)
-
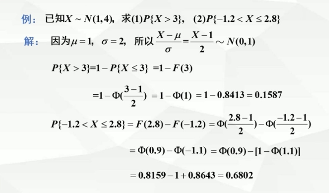
标准化例题
2.5 一维随机变量的函数分布
若X是离散型随机变量,则Y=g(x)也一定是离散型随机变量
-
公式法求概率密度
第三章 多维随机变量及其分布
3.1 二维随机变量
3.1.1 二维随机变量及其分布函数
-
定义:E是一个随机试验,它的样本空间为Ω={w},设X=X(w)和Y=Y(w)是定义在Ω上的随机变量,由他们构成的一个向量(X,Y),叫作二维随机向量或二维随机变量。
-
分布函数
设(X,Y)是二维随机变量,对于任意实数x,y,二元函数:F(x,y)=P{(X≤x)∩(Y≤y)} = P{X≤x, Y≤y}
上面函数称为二维随机变量(X,Y)的分布函数,或称为随机变量X和Y的联合分布函数
-
分布函数性质
- 1)对一切x,y,有0≤F(x,y)≤1
- 2)F(x,y)分别对x,y是单调不减的函数
- 3)对于固定的x, F(x,-∞) = lim(y->-∞)F(x,y)=0 F(-∞,y)=lim(x->-∞)F(x,y)=0
- 4)F(x,y)分别是x和y的右连续函数
- 5)对于任意的x1<x2, y1<y2都有:F(x2,y2) - F(x1,y2) - F(x2,y1) + F(x1,y1) ≥ 0
3.1.2 二维离散型随机变量
- 若二维随机变量(X,Y)所取的可能值是有限对或无限可列多对,则称(X,Y)为二维离散型随机变量
- 二维随机变量(X,Y)的分布律 - 又称为随机变量X,Y的联合分布律,所有概率和为1
3.1.3 二维连续型随机变量
-
对于(X, Y)的分布函数F(x,y),如果存在非负的函数f(x,y)使对任意实数x,y都有
则称(X,Y)是连续型的二维随机变量,函数f(x,y)称为二维随机变量(X,Y)的概率密度,或称为随机变量X,Y的联合概率密度
-
概率密度函数性质
-
- f(x,y)≥0
-
-
- 设G是xoy平面上的一个区域,则 P{ {X,Y} ∈ G } = 对f(x,y)中G区域的积分
-
- 若f(x,y)在点(x,y)连续, 则有f(x,y) = a²F(x,y) / axay = f(x,y)
-
3.1.4 二维常用分布 n维随机变量概念
-
均匀分布
定义:设D是平面上的有界区域,其面积为S,若(X,Y)具有概率密度f(x,y)=1/S , (x,y)∈D 或 0, 其他
则称(X,Y)在D上服从均匀分布
-
二维正态分布
-
n维随机变量
定义:设E是一个随机试验,它的样本空间是Ω={w},设X1=X1(w),X2=X2(w),…,Xn=Xn(w),是定义在Ω上的随机变量,由它们构成的一个n维向量(X1,X2,…,Xn)叫做n维随机向量或n维随机变量。
3.2 边缘分布
3.2.1 边缘分布函数、边缘分布律
-
二维随机变量(X,Y)作为整体,具有联合分布函数F(x,y),而X和Y自己也有分布函数,分别记为Fx(x),Fy(y)
即分别称为X和Y的边缘分布函数。同时还有 边缘概率密度 和 边缘分布率的概念,将它们统称为边缘分布。
-
求边缘分布函数示例
-
离散型随机变量分布律(求法)
3.2.2 连续型随机变量的边缘分布
-
随机变量的独立性概念
由两事件独立的定义是P(AB)=P(A)P(B),推广得到:
设F(x,y)及Fx(X),Fy(y)分别是二维随机变量(X,Y)的分布函数及边缘分布函数,若对于任意实数x,y有P{X≤x, Y≤y} = P{X≤x}P{Y≤y},即F(x,y)=Fx(x)Fy(y),则称随机变量X和Y是相互独立的
(重要结论:随机变量X和Y相互独立的话,g1(X)与g2(X)也相互独立,其中g为一元连续函数)
-
对于连续型随机变量(X,Y),设它的概率密度为f(x,y)
上面称为随机变量(X,Y)分别关于X,Y的边缘概率密度
-
二维正态分布的边缘概率密度
注意:边缘分布为正态分布的随机变量,联合分布不一定是二维正态分布
3.3 随机变量的独立性
-
离散型随机变量的独立性
离散型随机变量X和Y相互独立的充分必要条件:P{X=xi, Y=yj}=P{X=xi}P(Y=yj)
-
连续型随机变量的独立性
连续型随机变量X和Y相互独立的充分必要条件:f(x,y)=fx(x)*fy(y),几乎处处成立(除去平面上面积为0的集合)
-
二维正态变量的两个分量相互独立的充要条件:N(μ1,μ2,σ1²,σ2²,ρ)中的参数ρ=0
-
多维随机变量独立性及性质
3.4 条件分布
- 定义:设(X,Y)是二维离散型随机变量,对于固定的j若P(Y = yj)>0, 则称
为在Y=yj条件下随机变量X的条件分布律
对于固定的i,若P(X=xi)>0,则称
为在X=xi条件下随机变量Y的条件分布律
-
二维连续型随机变量的条件分布
设二维连续型随机变量(X,Y)概率密度为f(x,y),关于Y的边缘概率密度为fY(y),若对固定的y,fY(y)>0则称
为在Y=y条件下随机变量X的条件概率密度
相反地,关于Y的边缘概率密度为fX(x),若对固定的x,fX(x)>0则称
为在X=x条件下随机变量Y的条件概率密度
-
联合分布、边缘分布、条件分布关系如下
3.5 二维随机变量的函数的分布
3.5.1 二维随机变量的函数分布与概率密度
-
函数分布
把二维随机变量分布律表写成坐标形式,并省略掉联合分布律为0的点,随后将(X,Y)的值代入函数X-Y得对应的函数值
-
概率密度
二维连续型随机变量函数的概率密度
3.5.2 Z=X+Y的分布
-
Z=X+Y的概率密度计算公式
-
结论:独立的正态分布的和仍是正态分布
3.5.3 max(X,Y)与min(X,Y)的分布
- 设X, Y是两个相互独立的随机变量,他们的分布函数分别为FX(x)和FY(y),另M=max(X,Y),N=min(X,Y),则
第四章 随机变量的数字特征
4.1 随机变量的数学期望
- 数学期望的本质:以概率为权重对随机变量取值加权平均
4.1.1 离散型随机变量的数学期望
-
定义
4.1.2 连续型随机变量的数学期望
-
定义
4.1.3 随机变量函数的数学期望
-
一维随机变量函数的数学期望
(1)若X是离散型随机变量,分布列为P{X=xi}=pi,则E(Y)=E[g(X)]=∑g(xi)pi
(2)若X是连续型随机变量,密度函数为f(x),则E(Y)=E[g(X)]=∫(-∞,+∞)g(x)f(x)dx
-
二维随机变量函数的数学期望
由一维随机变量数学期望推广可得
4.1.4 数学期望的性质
-
性质如下
(1)设C是常数,则有E(C)=C
(2)设X是一个随机变量,C是常数,则有E(CX)=CE(X)
(3)设X,Y是两个随机变量,则有E(X+Y)=E(X)+E(Y)
(4)设X,Y是相互独立的随机变量,E(XY)=E(X)E(Y)
4.2 随机变量的方差与标准差
4.2.1 方差与标准差的定义
-
方差的定义
设X是一个随机变量,若E{[X-E(X)]²}存在,则称E{[X-E(X)]²}为X的方差,记为D(X)或Var(X),称根号D(X)为标准差或均方差。
注意:方差的本质是随机变量与数学期望之间的平均偏离程度
计算公式:D(X)=E(X²)-E(X)²
4.2.2 方差的性质
-
性质如下
(1) 设C是常数,则D(C)=0
(2) 设C是常数,X是随机变量,则D(CX)=C²D(X)
(3) 设X,Y独立,D(X),D(Y)存在,则D(X±Y)=D(X)+D(Y)
4.3 几种常见分布的数学期望和方差
-
总结如下
-
例题:设X~B(n,p),且E(X)=2.4,D(X)=1.44,求n和p
解:由E(X)=np=2.4,D(X)=npq=1.44,故q=0.6, p=0.4, n=6
4.4 协方差
-
定义
E{[X-E(X)][Y-E(Y)]}称为随机变量X与Y的协方差,记为Cov(X,Y)
-
计算公式
(1) Cov(X,Y) = E(XY) - E(X)E(Y)
(2) Cov(X,X) = D(X)
-
性质
(1) Cov(X,Y) = Cov(Y,X) 对称性
(2) Cov(aX,bY) = abCov(X,Y) a,b为常数
(3) Cov(X1+X2, Y) = Cov(X1,Y) + Cov(X2,Y)
(4) 若X,Y独立,那么Cov(X,Y) = 0 (倒推不成立)
(5) D(X±Y) = D(X)+D(Y)±2Cov(X,Y)
4.5 相关系数
相关系数的定义与性质
-
协方差大小在一定程度上反应随机变量X,Y的相互关系,但也受到X,Y本身度量单位影响,因此可对协方差进行标准化,从而引出相关系数的概念
-
定义:设(X,Y)是二维随机变量,若D(X)>0,D(Y)>0,则称
为随机变量X与Y的相关系数,记为ρXY
-
结论
当|ρXY|较大,说明X,Y的线性关系较紧密
当|ρXY|较小,说明X,Y的线性相关程度较小
-
性质
(1) |ρXY|≤1
(2) |ρXY|=1 ↔ 存在常数a,b使得 P(Y=aX+b) = 1
-
不相关、正相关、负相关
-
下列命题等价
(1) X,Y不相关 ↔ ρXY=0
(2) X,Y不相关 ↔ Cov(X,Y) = 0
(3) X,Y不相关 ↔ E(XY)=E(X)E(Y)
若(X,Y)服从二维正态分布N(μ1,μ2,σ1²,σ2²,ρ),则Cov(X,Y)=ρσ1σ2
矩
-
若 E(X^k) (k=1,2,…) 存在,则称它为X的k阶原点矩
-
若 E[X-E(X)]^k (k=1,2,…) 存在,则称它为X的k阶中心矩
注意:数学期望、方差、协方差都是特殊的矩
第五章 大数定律与中心极限定律
5.1 切比雪夫不等式与大数定律
5.1.1 依概率收敛、切比雪夫不等式
依概率收敛
-
定义:设Y1,Y2,…,Yn是一随机变量序列,a是一个常数,若对于任意整数ε,有lim(n->+∞)P{|Yn - a|≥ε} = 0,则称序列Y1,Y2,…,Yn依概率收敛于a,记为Yn—>a,当n->+∞
-
性质
设Xn—>a, Yn—>b, 当n->+∞,设函数g(x,y)在点(a,b)连续,则g(Xn,Yn)—>g(a,b),当n->+∞
切比雪夫不等式
-
定理:对任意随机变量X,设E(X),D(X)都存在,则∀ε>0,P{|X-E(X)|≥ε} ≤ D(X)/ε²,等价形式:P{|X-E(X)|<ε}≥1-D(X)/ε²
-
优点:不需知道X的分布,适用范围广
-
缺点:估计较粗糙
5.1.2 伯努利大数定律
-
定理
设na是n次重复独立实验中事件A发生的次数,p=p(A),则∀ε>0,有
注意:“伯努利大数定律”是频率稳定性的准确描述
5.1.3 切比雪夫大数定律、辛钦大数定律
-
切比雪夫大数定律-定理
设相互独立的随机变量序列X1, X2, … , Xn,… 期望与方差都存在,且方差是一致有上界的,即存在正常数C,使得D(Xk)≤C,k=1,2,…,则对于任意整数ε,有
-
辛钦大数定律-定理
设独立同分布的随机变量序列X1,X2,…,Xn,…,期望存在,记为μ,则对任意整数ε,有
5.2 中心极限定理
5.2.1 埭莫弗-拉普拉斯中心极限定理
-
定理
设随机变量Yn~B(n,p)(n=1,2,…; 0<p<1, q=1-p),Zn=(Yn-np) / 根号npq
则对任意实数x,恒有lim(n->∞)Fzn(x)=Φ(x)
-
说明
当n充分大时,Zn近似服从N(0,1),Yn近似服从N(np, npq)
5.2.2 独立同分布中心极限定理
-
定理
各种中心极限定理的比较
-
如下图所示
第六章 数理统计的基本概念
6.1 总体与样本
-
总体
研究对象的某项数量指标值的全体
-
个体
构成总体的每个元素
注意:用大写X1 X2 … 表示样本,小写x1 x2… 表示样本值
-
样本
简单随机抽样,要求抽取的样本满足:
1)样本具有代表性,即Xi与总体X同分布
2)样本具有独立性:X1,X2,…,Xn相互独立
用上述抽样方法得到的样本称为简单随机样本,简称样本
6.2 统计量
-
概念
不含有任何未知参数的样本函数
-
定义
设X1,X2,…,Xn是来自总体X的一个样本,若样本函数g(X1,X2,…,Xn)中不含有任何未知参数,则称g(X1,X2,…,Xn)是一个统计量
-
常用统计量
设X1,X2,…,Xn是来自总体X的一个样本,x1,x2,…,xn是这样本的观测值
1)样本平均值
2)样本方差
3)样本标准差
4)样本矩——样本k阶(原点)矩(k=1,2…)
注意:样本1阶矩即为样本平均值
5)样本矩——样本k阶中心矩(k=2,3,…) -
常用统计量常用结论
1)样本方差常用变形公式
2)对任意总体X,设E(X)=μ,D(X)=σ²,X1,X2,…,Xn是样本,则E(X平均)=μ,D(X平均)=σ²/n,E(S²)=σ²
6.3 抽样分布
统计量的分布称为抽样分布
6.3.1 X²分布
-
设随机变量X1,X2,…,Xn相互独立,且都服从N(0,1),则称统计量X²=X1²+X2²+…+Xn²服从自由度为n的X²分布,记为X²~X²(n)
-
自由度:指X²=X1²+X2²+…+Xn²中右端包含独立变量的个数
-
性质
1)X²分布的可加性
设X1²~X²(n1),X2²~X²(n2),并且X1²与X2²相互独立,则X1²+X2²~X²(n1+n2)
2)X²分布随机变量的数学期望和方差
若X²~X²(n),则E(X²)=n,D(X²)=2n
-
例题
注意:这里用到了正态分布标准化,如下所示:
6.3.2 t分布、F分布
-
t分布
设X~N(0,1),Y~X²(n),且X与Y相互独立,则称随机变量t=X/根号(Y/n)服从自由度为n的t分布,记为t~t(n)
t分布例题
-
F分布
设U~X²(n1),V~X²(n2),且U与V相互独立,则称F=(U/n1) / (V/n2) 服从自由度为(n1,n2)的F分布,记为F~F(n1,n2),其中n1称为第一自由度,n2称为第二自由度
F分布例题
-
结论
若T~t(n),则T²~F(1,n)
6.3.3 上(侧)α分位数
-
定义
对于随机变量X,给定α(0<α<1),若存在数Xa,使得P{X>Xa}=α,则称Xa为X(或它的分布)的上(侧)分位数,如下图所示
-
常见的几种分位数
1)标准正态分布的上(侧)α分位数
2)X²分布的上(侧)α分位数
3)t分布的上(侧)α分位数
4)F(n1,n2)分布的上(侧)α分位数
-
性质总结
1)Z(1-α) = -Z(α)
2)
6.3.4 抽样定理
定理一
设总体X~(μ,σ²),X1,X2,…,Xn是样本,X平均和S²分别是样本均值和样本方差,则有结论
1)X平均~N(μ, σ²/no)
2)X平均与S²相互独立
3)(n-1)S²/σ² ~ X²(n-1) —> Σ(Xi-μ/σ) ~ X²(n)
推论
1)由结论1,可得 X平均-μ/(σ/根号n) ~ N(0,1)
2)X平均-μ/(S/根号n) ~ t(n-1)
定理二
设总体X~N(μ1,σ1²),总体Y~N(μ2,σ2²),X1,X2,…,Xn与Y1,Y2,…,Yn分别是来自两个总体的样本,并且这两个样本相互独立,样本均值分别为X平均和Y平均,样本方差分别是S1²和S2²,则有以下三个抽样分布
1)
2)
第七章 参数估计
7.1 点估计
7.1.1 矩估计
-
统计推断
通过样本对总体的特征进行估计、推断或预测
-
参数
反映总体某些方面特征的量
-
点估计
点估计问题是要构造一个适当的统计量θ^ (X1,X2,…,Xn),用它来估计未知参数θ,θ^ 则称为参数θ的点估计量
若给定一组样本观测值X1,X2,…,Xn则θ^ (x1,x2,…,xn)称为参数θ的点估计值
-
样本i阶矩是总体X的i阶矩的 矩估计
7.1.2 最大似然估计
-
似然函数
X1,X2,…,Xn是来自总体X的样本,x1,x2,…,xn为样本观测值
1)设总体X属离散型
设分布律P{X=x}=p(x;θ),θ为待估参数,则样本X1,X2,…,Xn取到观测值x1,x2,…,xn的概率,P{X1=x1,X2=x2,…,Xn=xn}=L(θ),称为样本似然函数
2)设总体X属连续型
设概率密度f(x;θ),θ为待估参数,X1,X2,…,Xn是来自总体X的样本,则样本在观测值邻域发生的概率,可得
似然函数L(θ)=∏f(xi;θ)
-
说明
1)求L(θ)最大值点,为简化计算,通常求lnL(θ)最大值点,令dlnL(θ)/dθ=0
2)若L(θ)关于θ是单调递增(减)函数,则θ最大似然估计为θ最大(小)值,与样本有关
3)最大似然估计具有不变性
-
总结对参数求最大似然估计步骤
1)写似然函数
2)取对数lnL(θ)
3)令dlnL(θ)/dθ = 0,解θ的最大似然估计θ^
7.2 估计量的评选标准
-
无偏性准则
若参数θ的估计量θ^ = θ^ (X1,X2,…,Xn),满足E(θ^ )=θ,则称θ^是θ的无偏估计量
1)其统计意义是在大量重复独立实验下,由θ^ (X1,X2,…,Xn)给出的估计的平均值恰好是参数θ
2)若E(θ^ ) ≠ θ,且limE(θ^ )=θ,则θ^称为θ的渐进无偏估计量
3)X平均是μ的无偏估计,S²是σ²的无偏估计,样本二阶中心距不是σ²的无偏估计,是渐进无偏估计
-
有效性准则
若θ^ 1和θ^ 2都是未知参数θ的无偏估计量,即E(θ^ 1)=E(θ^ 2)=θ,如果D(θ^ 1)≤D(θ^ 2),则称估计量θ^ 1比θ^ 2有效
注意:方差较小的无偏估计量更有效
-
相合性准则
设θ^ =θ^ (X1,X2,…,Xn)为未知参数θ的估计量,若∀ε>0,有lim(n->∞){|θ^ -θ|≥ε}=0,则称θ^ 为θ的相合估计量
7.3 区间估计
7.3.1 置信区间
-
区间估计
估计一个范围,使之以较大的概率包含未知参数
-
定义
设总体X的分布函数F(x;θ)含有一个未知参数θ,对给定值α(0<α<1),若由样本X1,X2,…,Xn确定的两个统计量θ^ 1和θ^ 2满足 P{θ^ 1(X1,X2,…,Xn)<θ<θ^ 2(X1,x2,…,Xn)}=1-α
则称随机区间(θ^ 1,θ^ 2)是θ的置信水平为1-α的(双侧)置信区间,θ^ 1和θ^ 2分别称为置信下限和置信上限,置信水平1-α也称为置信度
-
说明
1)被估计参数θ虽然未知,但它是一个常数,没有随机性
2)θ^ 1与θ^ 2是统计量,依赖于样本
3)置信区间(θ^ 1,θ^ 2)是随机区间,依赖于样本,样本值不同则算出来的区间不同
4)有些样本观测值算出的区间包含θ的真值,而有些则不包含
-
精确度:
置信区间长度L,L越大则精确度越低,置信度越大
置信区间长度L,L越小则精确度越高,置信度越小
-
Neyman原则
在保证置信度的条件下,选择精确度高的置信区间
-
求置信区间的步骤
1)寻求一个样本X1,X2,…,Xn的函数:G=G(X1,X2,…,Xn;θ),G的分布已知且不依赖于任何未知参数
2)对于给定的置信度1-α,定出两个常数a,b,使P{a<G<b}=1-α
3)从a<G<b中解出θ,得到等价的不等式θ^ 1<θ<θ^ 2,即P{a<G<b}=1-α <=> P{θ^ 1<θ<θ^ 2}=1-α,那么(θ^ 1, θ^ 2) 就是θ的一个置信度为1-α的置信区间
7.3.2 单个正态总体均值、方差的置信区间
-
正态总体均值μ的置信区间
设总体X~N(μ,σ²),X1,X2,…,Xn为来自总体X的样本,X平均,S²分别为样本均值和样本方差,设给定置信水平为1-α
1)σ²已知,X平均~N(μ, σ²/n)
X平均是μ的矩估计量,构造枢轴量Z=(X平均-μ)/(σ/根号n) ~ N(0,1)
置信区间如下,置信区间长度为L
当n固定时,
置信度1-α越大,Za/2越大,L越大,精确度越低;
置信度1-α越小,Za/2越小,L越小,精确度越高
2)σ²未知
S²是σ²的无偏估计量,构造枢轴量T=(X平均-μ)/(S/根号n) ~ t(n-1)
置信区间如下
-
正态总体方差的置信区间(μ未知)
S²是σ²的无偏估计量,构造枢轴量X²=(n-1)S²/σ² ~ X²(n-1)
σ²的一个置信度为1-α的置信区间
7.3.3 两个正态总体均值差、方差比的置信区间
两正态总体均值差的置信区间
μ1μ2的置信区间
1)σ1²和σ2²已知,置信区间如下
2)σ1²和σ2²未知且相等,置信度为1-α的置信区间如下
两正态总体房差比的置信区间
σ1²/σ2²的置信区间(μ1, μ2未知)
7.4 单侧置信限
定义
设总体X的分布函数F(x;θ)含有一个未知参数θ,X1,X2,…,Xn是样本,若对给定值α(0<α<1),存在统计量θ^ L=θ^ L(X1,X2,…,Xn),满足P{θ^ L(X1,X2,…,Xn)<θ}=1-α,则称θ^ L是θ的置信水平为1-α的单侧置信下限(上限以此类推)
正态总体均值μ的单侧置信限
设总体X~N(μ,σ²),X1,X2,…,Xn为来自总体X的样本,设给定的置信水平为1-α
1)σ²已知,μ的置信水平为1-α的单侧置信上下限为
2)σ²未知,μ的置信水平为1-α的单侧置信上下限为
正态总体方差的单侧置信限
1)μ未知,σ²的置信水平为1-α的单侧置信下限
上限
第八章 假设检验
Z-检验
检验假设H0:μ=μ0,H1:μ≠μ0,当σ²已知
T-检验
检验同上,但σ²未知,S为标准差






